Tip: Start typing in the input box for immediate search results.Can't find what you're looking for? Submit a support request here.
Modal Analysis Overview
Modal Analysis in StressCheck
Modal analysis is used for finding the natural frequencies and associated mode shapes. StressCheck also provides a capability for taking into account the effects of initial stresses on the computed natural frequencies and modes.
Modal analysis is available for planar, plate bending and three-dimensional problems.

Modal Analysis Setup
Preparation of the input data for modal analysis consists of the following steps:
- Description of the solution domain (geometry/mesh)
- Specification of material properties. Make sure that you provide the specific density (mass per unit volume) for the material
- Specification of loading conditions (Modal analysis without pre-stress does not require load specification)
- Specification of constraints
- Association of a solution name with a constraint name and load name (pre-stress Modal analysis only)
- Specification of the discretization parameters
Then, select the Modal tab in the Solve dialog, specify the solution options, and click the Solve button. For an example of setting up and executing a modal analysis, refer to StressCheck Demo: Bracket Modal Analysis.
Modal Analysis Considerations
Units
The units for the material properties should be given in a consistent set. For example, if using US units, the force is given in pound force (lbf), the time in seconds (s), the length in inches (in), the pressure or stress in lbf/in2 (psi), the mass in lbf/g (lbf-s2/in), and the specific density in lbf/g-in3 (lbf-s2/in4), where g is the gravitational acceleration (g=386.1 in/s2). Using SI units, the force is given in Newtons (N), the mass in kilograms (kg), the time in seconds (s), the length in meters (m), the pressure or stress in N/m2 (Pa), and the density in kilogram per cubic meter (kg/m3).
For both the US and SI units, the natural frequencies are reported in cycles per second (Hz) and in radians per second. If you chose a time unit other than seconds, the results should be interpreted as cycles per unit time or radians per unit time.
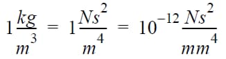
For Modal analysis, when the modulus of elasticity is given in MPa (N/mm2), then the density should be given in N-s2/mm4. This change is necessary because:

If for an aluminum alloy the modulus of elasticity is E=75200 MPa, then the density should be ρ=2800 x 10-12 N-s2/mm4. In the list of standard materials provided with StressCheck, these are the units used for E and ρ.
Recommended P-Levels
In general, when one dimension of a body is much smaller than the others, locking will occur at low p-levels. It is recommended therefore that p-levels should range from not less than p=4 to at least p=6.
Vibration Under Pre-Stress
Modal analysis is used for the computation of frequencies and associated mode shapes at which a linear elastic body will tend to vibrate once it was set into motion in the absence of external loading. Therefore specification of loading is not required for a standard Modal analysis. However, in many practical problems the natural frequency is influenced by the existence of pre-stress.
For example, a rotating helicopter blade vibrates at a higher frequency than a stationary one. StressCheck has the capability to account for the effect of prestress. If this option is used, StressCheck first solves the linear problem, then, utilizing the linear solution, computes the geometric stiffness matrix, which modifies the elastic stiffness matrix for the eigenvalue computation.
The prestress option is available only for three dimensional problems, including extruded problems.
Eigensolver Tolerance
When the frequency values do not decrease monotonically as the number of degrees of freedom are increased (see the below Frequency Convergence section), determine for which run number (or p-level) the value increases, and then try specifying a higher accuracy by setting parameter _nfig > 6 (_nfig is the number of decimal digits of accuracy desired in the eigensolver. By default _nfig = 6).
Note: if the tolerance is too small, the solver may take too long to compute the eigenpairs. Request a lower accuracy by setting the parameter _nfig < 6.
Rigid Body Constraints
Rigid body constraints alone should not be used in Modal analysis. The reason is that rigid body modes are admissible solutions and the corresponding eigenvalues are zero. If you run a problem which is not fully constrained, the eigensolver will find the zero eigenvalues. To speed-up the computation however, it is recommended that you specify the parameter “_k_indef” (arbitrary value) before executing the Modal analysis.
Modal Solver Options
Extension
As in a linear analysis, you may choose the type of extension to perform during the modal analysis, Upward-p or Downward-p. These have the same interpretation as in a linear analysis, as do the p-limits.
Type
The type of modal analysis may be “Frequencies and modes” or “Frequencies only”. If you choose “Frequencies and modes”, the analysis will produce both the frequencies and the mode shapes, otherwise only the frequencies will be computed. Computation of mode shapes requires more CPU time and disk storage.
Frequency
You may choose to compute frequencies and modes in a specified “Interval” or “Range”. “Interval” means that the requested output will be computed for all frequency values greater than or equal to the lower limit (in Hz) specified in the first Frequency value field and less than or equal to the upper limit specified in the second Frequency value field. “Range” means that the requested output will be computed from the Frequency number i to the frequency number j, where i and j are selected in the Frequency number fields. Typically the first few natural frequencies are of interest.
Pre-Stress
StressCheck has the capability to take into account the effect of pre-stress on the natural frequency of vibration. To exercise this option you must be performing a three-dimensional analysis and the body must be properly loaded and constrained. StressCheck will compute the stresses due to the applied loads and make the appropriate corrections to the stiffness matrix.
Note: If Modal analysis is performed after a Linear analysis, both sets of solution records will be available in the database. The Initialize option in the Modal Solver deletes only the records of existing modal solutions, while the same option in the Linear Solver deletes ALL existing records. Therefore, if a Linear analysis is performed after a Modal analysis has been executed, all solution records for the Modal analysis will be lost.
Modal Results
There are two basic post-solution operations which are relevant for Modal analysis: Frequency convergence and display of the mode shapes. The frequency convergence is performed under the Error tab in the Results dialog window, while the display of the deformed shapes is done under the Plot option.
Frequency Convergence
From the Main Menu Bar select the View Results icon and when the Results dialog appears select the Error tab. To obtain an error estimate, there must be at least three runs in a sequence. The available solution names and run numbers are displayed in the scrolling list.
The solution corresponding to each eigenpair (frequency and mode shape) is identified by the name provided in the Solution ID class followed by an underscore (_) and a number. For example, the solution corresponding to the first eigenpair is labeled SOL_00001.
To check the convergence of a natural frequency, select the desired solution and click on the Accept button. As shown in the below animated example, the estimated error for the first natural frequency is plotted as a function of the number of degrees of freedom (DOF):
Mode Shapes
To obtain a deformed configuration, select the Plot tab from the Results dialog. To display the mode shape associated with a given frequency, select the corresponding solution name and run number, select Shape: Deformed and then click on the Plot button:
The Model View has a legend that includes the solution ID, the run number, the degrees of freedom, the natural frequency, the mode shape number, and the maximum and minimum values of the displayed function. The maximum and minimum values have only relative significance, since mode shapes are known only up to an arbitrary multiplier.
Note: StressCheck computes repeated eigenvalues. If you plot the second and third mode shapes for this problem, both have practically the same natural frequency but their mode shapes are different.
Serving the Numerical Simulation community since 1989 
