Tip: Start typing in the input box for immediate search results.Can't find what you're looking for? Submit a support request here.
Point Running Loads Implementation
Point Running Loads in StressCheck
The functionality allows to import point load information (forces and moments per unit length, or running loads) from a global shell model into StressCheck, visualize these loads, and assign them to the faces of solid elements or the edges of shells. StressCheck calculates interpolated traction functions on those faces/edges, and incorporate the tractions into a load case for use in the finite element solution
process.
The functionality allows for the visualization of the imported load data obtained from the solution of a global shell model, and their assignment to a set of selected solid elements faces or shell edges. Once the global forces and moments are assigned to element edges/faces, interpolating functions are calculated for each force (Fx, Fy, Fz) and moment (Mx, My, Mz) component.
Both the point forces and moments are understood to be per unit length and in the global coordinate directions, and are positive when in the direction of the positive coordinate axes:

Once the data points are assigned to the local mesh, the quality of the continuous fitted functions over the imported data can be assessed by performing a quality check.
The object type point load is specified by: Object number, Case ID, global coordinates (X, Y, Z), three force components (Fx, Fy, Fz), three moment components (Mx, My, Mz), and the shell thickness. The resultant force and moment associated with a point load object can be displayed using two scaled resultant vectors, one for the resultant force and one for the resultant moment. Assignment of multiple load cases is also possible.
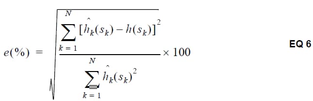
The procedure to compute continuous traction functions is described in the following for the particular case of faces. The case of shell is analogous. The quality of fitting is evaluated by a least square error measure associated with each component.
Point Running Load Fitting Steps
There are two basic steps in converting point load data into continuous traction functions needed by StressCheck: (a) Fitting a curve over the spatial distribution of the selected data points, and (b) fitting the force/moment components as a function of a single parameter along the fitted curve.
Curve Fitting
First, the spatial distribution of the data points is approximated with a space curve using a spline representation as a function of a single parameter s. Let XP, YP, ZP be the global coordinates of an arbitrary point P, from the N points imported from the global model to be associated with a group of faces of the local model. Then the parametric representation of the curve fitted through the points can
be written in vector form as follows:


where i, j and k are the unit vectors in the direction of the global X, Y and Z axes respectively. Mapping functions are computed (and the corresponding inverse mapping functions) relating a point on the spline curve with the global coordinates of that point:

The algorithm to fit the spline curve is based on a Parasolid internal function that requires the points to be ordered from one end to the other end of the target curve. The ordering may be determined in two ways: the ordering can be specified by the user, or it can be determined automatically by StressCheck based on the distance between neighboring points. To order automatically, the program begins with an arbitrary first point and finds the closest point to it. This point becomes the next point in the sequence and the new end point of the order. This procedure continues, adding new points to either end of the ordered list of points until all points have been added to the list. The ordered list of points is used for constructing a spline curve using a standard Parasolid function. The curve is displayed on the screen for visual feedback to the user. The result of the fitting is the set of three parametric equations of the spline given in EQ 2. For a given value of the parameter -1 ≤ s ≤ 1, it returns the corresponding global coordinates (x, y, z).
Force/Moment Fitting
Next, the force and moment components per unit length and the shell thickness are approximated in the parameter space of the curve using least squares fitting. Let h(s) represent a force, moment or shell thickness along the curve, then h(s) can be written as a linear combination of known polynomial functions φi(s) multiplied by unknown coefficients ai:

Let be the known value of the function at point k. Because of the relations given by EQ 2 and their inverse, the known value in global coordinates can be mapped into the parameter space of the curve:

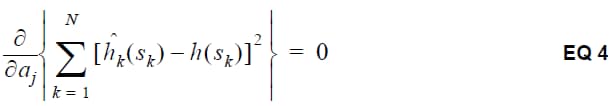
The unknown coefficients ai in EQ 3 are determined by minimizing the square of the difference between the given data points and the approximating function:

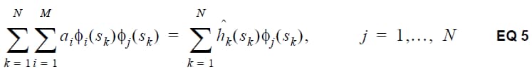
Substituting EQ 3 into EQ 4 and performing the indicated operations, a linear system of equations in the unknown coefficients ai is obtained:

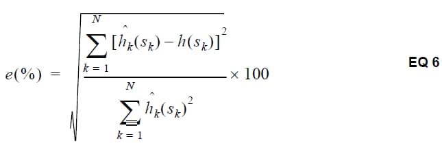
where N is the number of data points to be fitted along the curve, M is the polynomial order of the fitting and φi(s) are one-dimensional polynomial functions in the range -1 ≤ s ≤ 1. The quality of fit is determined by computing the relative error in the least squares sense, defined as follows:

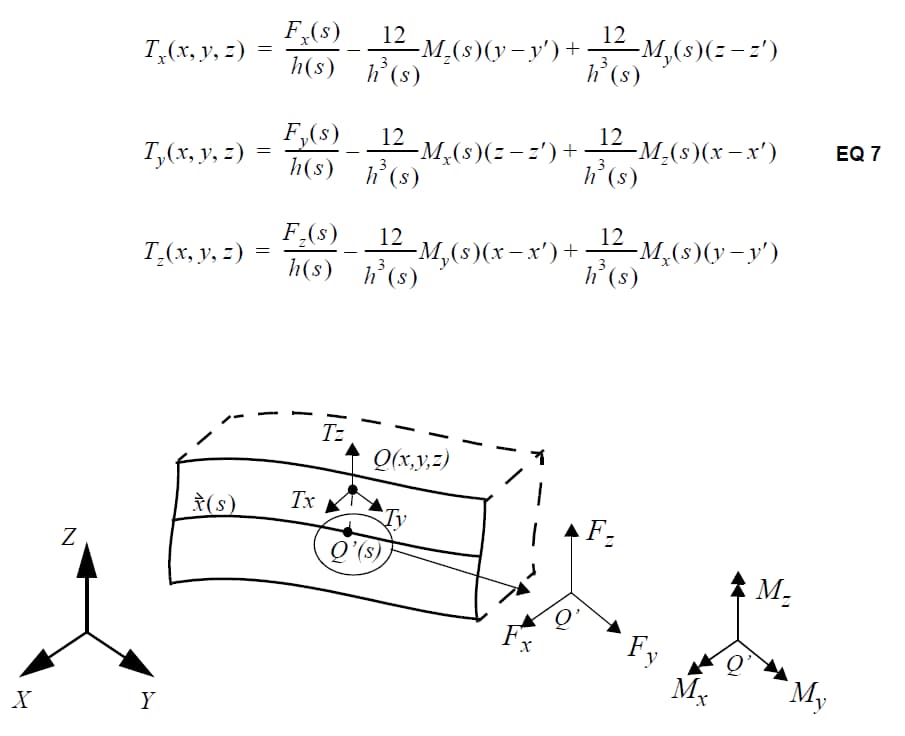
Once the polynomial fitting for the space curve x(s) connecting the data points and the three forces Fx(s), Fy(s), Fz(s), three moments Mx(s), My(s), Mz(s) and thickness h(s) are available, the traction components in the global system at any point on the face of an element are computed as follows:
- Project the point of interest Q(x, y, z) onto the curve x(s).
- Find the global coordinates (x’, y’, z’) of the projected point Q’(s).
- Compute the traction components Tx, Ty, Tz at point Q as:

The global tractions Tx, Ty, Tz are used during the solution of the local model at the required integration (Gauss) points on the element faces to determine the corresponding load vector terms.
Point Running Load Format & Importation
The format for importing point loads (forces/moments) per unit length is described in Importing Model Inputs under the heading “Importation of Point Loads per Unit Length (Running Loads)”. If in ASCII (.txt) format, ten (10) columns are required. The data is organized such that the first three columns are the global coordinates, the next three columns are the three components of the point force per unit length followed by the three components of the point moment per unit length, and the last column is the thickness of the plate/shell at the location of the point load.
Below is an example ASCII format for point running loads importation:

To import the ASCII data, simply use File > Import, select the ASCII (.txt) file containing the point running loads information, and click Open. The running load data will be available under Edit > Point Load Info…
Point Running Load Visualization, Modification & Assignment
Once the point load information is imported into StressCheck using the File > Import option and the local solid/shell model is available, select the Load tab of the Input dialog to assign a set of point load objects to a group of faces on the local solid model or a group of edges of the local shell model.

When the objects Any Surface, Face, Face Surface, Edge or Edge Curve are selected from the Object combo-box of the A/O/M, two methods are available for the assignment of the point load data: Fit-Auto (shown in the above) and Fit-Manual.
- Fit-Auto: The selected point load data will be automatically ordered by the program from one end to the other end of the target curve. This allows the use of the marquee-pick option to select a group of point load objects.
- Fit-Manual: The curve fitted through the spatial location of the point load data will be performed following the pick order. This allows the user to bypass the automatic ordering process in the event that it does not perform as expected.
Point Running Load Visualization
Once the name of the load has been entered, simply select from the list of Case ID’s to enable the display of associated point load data; point load objects are shown as small black triangles on the screen. The display options for the selected Case ID are:
- Locations: Shows input point load data on screen (triangles).
- Symbols: Shows 2 vectors per point with the resultant input force (single arrow head) and moment (double arrow head).
- Labels: point load object number.
The display of point load objects may be controlled using their respective toggle boxes which are available from the Load tab of the Input dialog (when the Fit-Auto or Fit-Manual method is selected), or from the Point Load Case Definitions dialog.
Point Running Load Modification
The “Edit definitions” button below the display options (or clicking on Edit > Point Load Info… in the Main Menu) enables the Point Load Case Definitions dialog shown below for the display/modification of existing input data or the creation of new point load objects (Figure 4):

The first column in the table is the case ID, the second is the object number, and the third column (Status) is used for indicating whether the point load object has been assigned to a load ID and the number of times it has been used. If a point is assigned in a load, the Status column is updated with “Assigned(1)” where the number in parenthesis is the number of times the point has been assigned in a load. Columns 4 to 6 contain the global coordinates of the point load record (X, Y, Z), while columns 7 to 12 contain the three forces (Fx, Fy, Fz) and three moments (Mx, My, Mz). The last column shows the shell thickness used in the global model. A summary with the number of data points for each case, as well as the summation of the force and moment components are provided at the bottom of the case definition interface.
- To add a new point load object, simply enter values into the text fields in the edit region of the dialog, and click on the Add button. The new record will appear in the table shown in the bottom portion of the dialog. The dialog may be stretched to view the entire table.
- To edit an object definition, simply click on the object’s entry in the table and the corresponding data will be transferred to the input fields in the edit region of the dialog. Update the values and click on the Replace button to record the changes. Note that the display symbol corresponding to the point load object record selected in the table will be highlighted in the Model View.
- To select objects in the table, just click anywhere on the corresponding row of the table. The row will be highlighted in red, and the corresponding object will be highlighted in the Model View. Use the arrow key to move up or down in the table, and simultaneously transfer the data to the input fields and highlight the object in the Model View. The object will remain highlighted until the Cancel action is selected.
- To delete an object definition, simply click on the object’s entry in the table then click on the Delete button. To delete multiple objects at one time, hold the SHIFT key while selecting records to highlight multiple object in the table, then click Delete.
- To purge all object definitions for all cases, click on the Purge All button. The Purge Case button can be used to purge the objects of the Current Case only. If you purged all the data points by mistake and want to restore them back, click Undo.
When load assignment records are selected from the list box at the top of the load input dialog, the corresponding edges/faces and point load objects will be highlighted automatically in the Model View. The corresponding point load records will also be highlighted in red in the table in the lower portion of the Case Definition dialog. Use the <Previous and Next> buttons to automatically locate the next (or previous) highlighted record in the table.
Point Running Load Scaling
Users have the option to apply parametric scaling to Point Load cases by specifying a Scaling Parameter on the Point Load Case Definitions dialog. This functionality is implemented such that all point loads under a single Case ID will be uniformly scaled (i.e multiplied) by the current value of a scaling parameter. The process for applying parametric scaling to point running loads is identical to that of scaling TLAP loads. Please refer to TLAP Implementation: TLAP Scaling for the step-by-step procedure.
Point Running Load Assignment
To create a load record based on point load data, select the edges/faces of the elements by pointing and clicking with the left button of the mouse. Next, while holding down the Ctrl and Shift keys of the keyboard simultaneously, select the point load objects from the screen using the left mouse button. Objects may be selected one at a time, or using the marquee pick. Finally, click the Accept button.
The spline curve fitted through the data points created automatically by the program will be displayed. Note that there are two different spline curves, because two records were created. When the boundary of the local solid model is piecewise continuous, one load record should be created for each boundary segment.
To change an assignment record, click the record shown in the list box at the top of the Load tab. The corresponding edges/faces and point load objects will be highlighted in the Model View. To change faces or point objects, use the standard object selection techniques. When finished, click the Replace button.
For more information on assigning loads to objects, refer to Loads Overview.
Checking the Quality of Spline Fitting
To check the quality of fit of the forces, moments and thickness, simply set the Action combo-box to Check and the Object combo-box to Face and click on the Accept button. The % relative error (see EQ 6) for each force and moment component and the thickness for each set# and for each Load ID are tabulated in a report dialog.
Serving the Numerical Simulation community since 1989 
